Logički sklopovi
Autor: Renata Josipović, 7. 5. 2024.
Pročitajte sadržaje vezane uz logičke izjave, logičke sklopove, građu i svojstva računala. Putem slika, prepoznajte priključke računala. Vježbajte zadatke složenih logičkih sklopova, a rješenja provjerite koristeći online alat logic gate simulator. kviz (Forms) vježbe (LearningApps)
LOGIČKE IZJAVE
1. Što je logička izjava? Logička izjava je tvrdnja koja može biti samo istinita ili lažna.
2. Kakve mogu biti logičke izjave? Logičke izjave mogu biti istinite ili lažne.
3. Koje su engleske oznake za istinitu i lažnu izjavu? Istinitost izjave označuje se engleski true,T, 1, istina, a lažnost engleski false, F, 0, laž.
4. Ako je izjava istinita, u kakvom je stanju? Ako je izjava istinita, tada kažemo da je u stanju 1.
LOGIČKE VARIJABLE I FUNKCIJE
1. Što je logička varijabla? Logička varijabla je zamjena za neku logičku izjavu.
2. Kakve vrijednosti može poprimiti logička varijabla? Vrijednost logičkih varijabla može biti 0 ili 1.
3. Uz pomoć čega se prikazuju pravila za logičke operacije? Prikazuju se uz pomoć tablice istinitosti.
UPORABA LOGIČKIH FUNKCIJA U PROGRAMIRANJU
1. Objasni svojim riječima ispitivanje višestrukih uvjeta u programima. Ispitivanje višestrukih uvjeta u programima postižemo kombiniranjem logičkih funkcija.
2. Kojim se operatorom mogu izraziti logičke funkcije? Logičke se funkcije mogu izraziti operatorima I (AND), ILI (OR) i NE (NOT).
3. Kako bi program izgledao bez uporabe logičke funkcije? Bez uporabe logičke funkcije program bi bio duži i nepregledniji.
ELEKTRONIČKI LOGIČKI SKLOPOVI I REGISTRI
1. Što je logički sklop? Logički sklop je osnovna jedinica od kojih se tvori računalo, a njihova izvedba ovisi o tehnologiji vremena u kojima su izrađeni.
2. Što je registar? Registar je dio memorije koji služi za privremeno pohranjivanje podataka.
3. Što su sabirnice? Sabirnice povezuju sve sklopove unutar računala.
4. Gdje se pohranjuju privremeni rezultati matematičkih operacija? Privremeni rezultati pohranjuju se u registrima.
5. Što nadzire promet podataka unutar računala? Sav promet podataka unutar računala, redoslijed obavljanja i način prikaza nadzire operacijski sustav računala.
ULAZNO-IZLAZNI PRISTUPI RAČUNALU
1. Što je paralelni prijenos podataka? To je prijenos podataka pri kojemu se podatci prenose bajt po bajt, brži je, ali nesigurniji od slijednoga.
2. Što je serijski prijenos podataka? To je prijenos podataka pri kojemu se podatci prenose bit po bit, sporiji je, ali točniji od paralelnoga.
3. Kod kojega tipa prijenosa podataka postoji veća mogućnost pogrješke? Kod paralelnog prijenosa mogućnost pogrješaka puno je veća.
4. Što su priključne stezaljke? Priključne stezaljke su priključnice na računalu na koje se priključuju dodatni uređaji.
5. Navedi nekoliko tipova priključnica. To su priključna stezaljka, USB, FireWire priključnica, serijska priključnica, paralelne i slijedne priključne stezaljke.
6. Koji priključak je u novije vrijeme uvelike zamijenio serijske i paralelne priključke i zašto? Zamijenio ih je USB priključak, zbog brzine prijenosa podataka i praktičnosti.
SVOJSTVA RAČUNALA
1. Što je brzina procesora? Brzina procesora je brzina pri kojoj radi procesor računala.
2. Kojom se mjernom jedinicom izražava brzina procesora? Brzina procesora danas se već izražava u gigahercima.
3. Što je kapacitet spremnika? Kapacitet spremnika je raspoloživa količina mjesta za pohranu podataka.
4. Kojom se mjernom jedinicom izražava kapacitet spremnika? Kapacitet spremnika danas se izražava u gigabajtima.
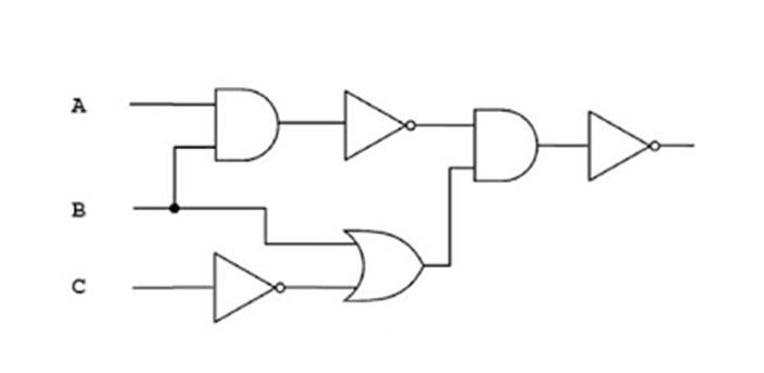
Zadaci za vježbu (tablice istinitosti):
1)

| A | B | C | Y |
| 0 | 0 | 0 | |
| 0 | 0 | 1 | |
| 0 | 1 | 0 | |
| 0 | 1 | 1 | |
| 1 | 0 | 0 | |
| 1 | 0 | 1 | |
| 1 | 1 | 0 | |
| 1 | 1 | 1 |
Ispravnost rješenog zadatka provjeri koristeći online alat Logic Gate Simulator.
*Video uputa za korištenje Logic Gate Simulatora
2)
3)
4)
5)
6)
7)
Priključci






Unutarnji_dijelovi_racunala_PONAVLJANJE_iz_petog_razreda.pdf
(1.44 MB)
Vanjski_dijelovi_racunalaPONAVLJANJE_iz_petog_razreda.pdf
(747.69 KB)
Poveznica_za_kviz_o_dijelovima_racunala.pdf
(54.43 KB) | « Veljača 2026 » | ||||||
| Po | Ut | Sr | Če | Pe | Su | Ne |
| 26 | 27 | 28 | 29 | 30 | 31 | 1 |
| 2 | 3 | 4 | 5 | 6 | 7 | 8 |
| 9 | 10 | 11 | 12 | 13 | 14 | 15 |
| 16 | 17 | 18 | 19 | 20 | 21 | 22 |
| 23 | 24 | 25 | 26 | 27 | 28 | 1 |
| 2 | 3 | 4 | 5 | 6 | 7 | 8 |
- Kurikulum OŠ Tu...
- Godišnji plan i p...
- Zapisnik o konačn...
- Zapisnik o prethodnim ...
- Izbori za povjerenika ...
- Izbori za povjerenika ...
- Zapisnik Skupa radnika...
- POZIV SINDIKALNE POVJE...
- PRIJEDLOG ZA IZBOR POV...
- Zapisnik o konačn...
- Zapisnik o prethodnim ...
- Lista kandidata za pre...
- Odluka Izbornog odbora...
- ZAPISNIK SKUPA RADNIKA
- SINDIKALNA POVJERENICA...
- PRIJEDLOG ZA IZBOR PRE...
- Odluka o imenovanju v....
- Kurikulum OŠ Tu...
- Godišnji plan i p...
- Zapisnik o konačn...
- Zapisnik o prethodnim ...
- Popis birača na i...
- Odluka o provođen...
- Poziv za skup radnika
- PRIJEDLOG ZA IZBOR PRE...
- Godišnji plan i p...
- Kurikulum OŠ Tu...
- Dokumenti OŠ TU...




























.jpg)



