preskoči na sadržaj
Vijesti

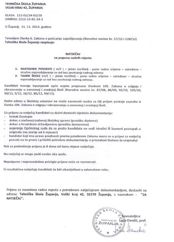
NATJEČAJ




Pošalji prijatelju Pošalji prijatelju
objavio: Nedjeljko Zobenica   datum: 11. 11. 2014.

Tražilica

RASPORED SATI


KALENDAR 2024/25.


POPIS UDŽBENIKA

Školske knjige i udžbenici za sve razrede - Vacom.hr


Oglasna ploča


Koliko je sati?

 

 

 


Raspored informacija

 


 

 


OFFICE 365

E dnevnik za roditelje i učenike


E dnevnik upute

Dokumenti

Kalendar
« Veljača 2026 »
Po Ut Sr Če Pe Su Ne
26 27 28 29 30 31 1
2 3 4 5 6 7 8
9 10 11 12 13 14 15
16 17 18 19 20 21 22
23 24 25 26 27 28 1
2 3 4 5 6 7 8
Prikazani događaji


Korisni linkovi

 

   

    

 

 





preskoči na navigaciju